Στρατηγικές
47
να είστε σε μια προφανή τάση ή να υπάρχει μια προφανής
αναδυόμενη τάση, ιδανικά, να υπάρχουν εκτενή μοτίβα
(δηλαδή, η κλασική τεχνική ανάλυση) και, φυσικά, να
οργανώσετε το στήσιμο. Μην εκτελείτε μέτριες συναλλαγές.
Μην προσπαθείτε να δημιουργήσετε συνθήκες που δεν
είναι ιδανικές. Μην εφευρίσκετε συναλλαγές.
9. Η μεθοδολογία είναι επαναλαμβανόμενη. Δεν υπάρχουν
μυστικές συνταγές. Με κάποια εμπειρία, θα μπορείτε να
αναγνωρίζετε τάσεις/ αναδυόμενες τάσεις και τα μοτίβα για
να τις εκμεταλλεύεστε.
10. Ο εναγκαλισμός των συναισθημάτων σας αποτελεί κλειδί.
Η κατανόηση της μεθοδολογίας, η εκτέλεση συναλλαγών
σε ένα λογικό αλλά σταθερό μέγεθος, η εκτέλεση
συναλλαγών των καλύτερων και μόνο στησιμάτων και ο
προγραμματισμός θα σας βοηθήσουν να διατηρείτε τον
έλεγχο των συναισθημάτων σας. Πρέπει να παθιάζεστε
προτού ξεκινήσετε μια συναλλαγή, όχι μετά.
Το δίλημμα
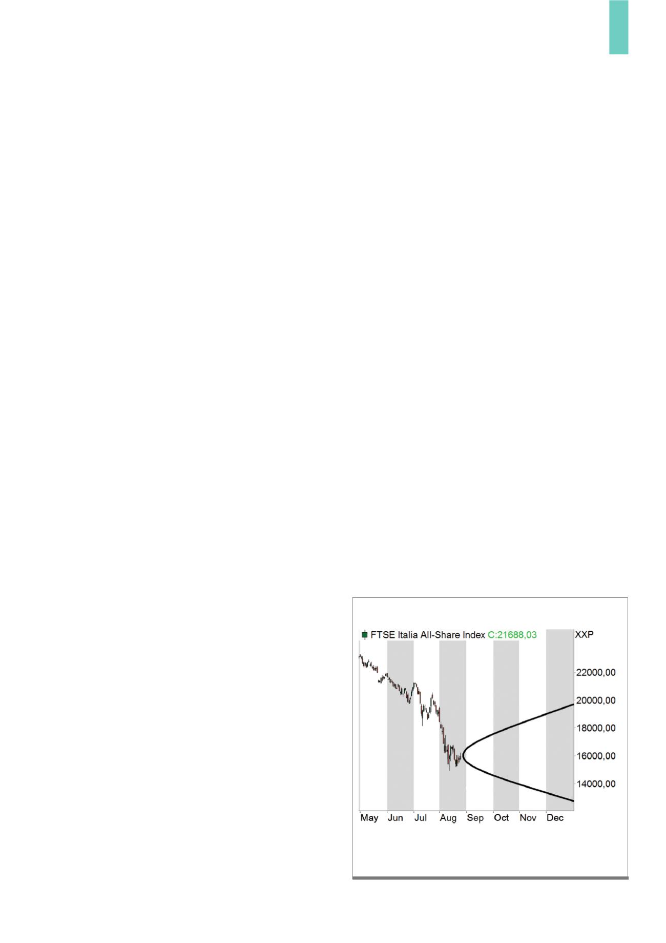
Μόνο το βραχυπρόθεσμο μπορεί να προβλεφθεί
Όσο πιο μακροπρόθεσμη είναι η πρόβλεψη του καιρού, τόσο
δυσκολότερα μπορεί να γίνει. Εάν ο καιρός είναι νεφελώδης
και πέφτουν αστραπές, το πιθανότερο είναι να πιάσει σύντομα
βροχή. Ωστόσο, αυτό προφανώς δεν σημαίνει ότι θα βρέχει
την ίδια στιγμή κατά την επόμενη εβδομάδα ή μήνα. Ομοίως,
αν και οι προβλέψεις των αγορών βασίζονται στις πιθανότητες,
η πρόβλεψη βραχυπρόθεσμων κινήσεων είναι πολύ
ευκολότερη από την πρόβλεψη μακροπρόθεσμων. Επιπλέον,
για όσο μεγαλύτερο διάστημα βρίσκεστε σε μια αγορά, τόσο
μεγαλύτερες είναι οι πιθανότητες να σας προλάβει η μπόρα.
Βάσει του ιστορικού της μεταβλητότητας, μια πρόβλεψη για το
μέλλον δείχνει πώς αυξάνεται η αβεβαιότητα ανάλογα με το
χρονικό ορίζοντα της πρόβλεψης.
Πηγή:
www.tradesignalonline.comΔ1)
Κώνος πιθανοτήτων
»
Βασικοί κανόνες
Προτού αναλύσουμε τη μεθοδολογία, ας δούμε μερικούς
βασικούς κανόνες. Η γνώση αυτών θα σας βοηθήσει να
κατανοήσετε τη φιλοσοφία του συντάκτη για τις αγορές και τις
εκτελέσεις συναλλαγών.
1. Η τεχνική ανάλυση ανοίγει το δρόμο. Εάν μια αγορά
πηγαίνει από το Α στο Γ και το Α < Β < Γ, τότε στην πορεία
του προς το Γ θα πρέπει να περάσει από το Β. Αντίθετα,
δεν υπάρχουν αυστηροί κανόνες όταν αναφερόμαστε
στη θεμελιώδη ανάλυση. Ο Schabacker το είπε με
τον καλύτερο τρόπο: «…οι θεμελιώδεις παράγοντες
υποδεικνύουν αυτό που οφείλει να συμβεί στην αγορά,
ενώ οι τεχνικοί παράγοντες υποδεικνύουν αυτό που
πραγματικά συμβαίνει στην αγορά» (Richard Schabacker:
«Technical Analysis and Stock Market Profits»).
2. Λαμβάνοντας υπόψη το #1, όλες οι ειδήσεις και όλες οι
βασικές αρχές αγνοούνται. Η τιμή και μόνο η τιμή μας
καθοδηγεί. «Θυμηθείτε: Όλες οι οικονομικές θεωρίες και
όλες οι βασικές αρχές δεν θα είναι ποτέ καλύτερες από ότι
επιτρέπει η τάση της αγοράς» (Gregory Morris: «Investing
With The Trend»).
3. Να εκτελείτε συναλλαγές μόνο στην κατεύθυνση της
καθιερωμένης ή αναπτυσσόμενης τάσης. Ανεξάρτητα από
τη μεθοδολογία, όλες οι επιτυχείς συναλλαγές πρέπει να
συλλάβουν μια τάση. Άρα, γιατί να μην ξεκινήσετε από μια
τάση;
4. Δεν ισχύει το ρητό «με το δικό μου τρόπο ή με κανένα».
Υπάρχουν πολλοί τρόποι για να εκτελέσετε συναλλαγές.
Εάν ήδη είστε πετυχημένοι επενδυτές, τότε χρησιμοποιήστε
μόνο ότι αισθάνεστε πως θα βελτιώσει τις συναλλαγές
σας. Εάν δεν είστε αυτήν την περίοδο πετυχημένοι, τότε
εξετάστε τη μεθοδολογία καθώς αποτελεί μια απλή και
ξεκάθαρη προσέγγιση.
5. Διατηρήστε τα πράγματα απλά. Εκτός από τον
περιστασιακό κινητό μέσο όρο, δεν χρησιμοποιείται
κανένας δείκτης.
6. Στις αγορές μπορεί να γίνουν μόνο βραχυπρόθεσμες
προβλέψεις. Παρά ταύτα, οι θέσεις μπορούν να
διατηρηθούν περισσότερο εάν υλοποιηθεί μια πιο
μακροπρόθεσμη τάση.
7. Η διαχείριση θέσης και χρημάτων αποτελούν κλειδιά.
Πρέπει να τοποθετηθείτε και για βραχυπρόθεσμα αλλά
και για πιο μακροπρόθεσμα κέρδη. Ανεξάρτητα από
το πόσο σπουδαία φαίνεται μια συναλλαγή, πάντα
υπάρχει ένας κίνδυνος απώλειας. Επομένως, πρέπει να
χρησιμοποιούνται stop.
8. Αν και η καλή άμυνα είναι κρίσιμη, μια καλή επίθεση
αποτελεί συχνά την καλύτερη άμυνά σας. Επιλέξτε τα
καλύτερα και αφήστε τα υπόλοιπα. Στις αγορές που
επιλέγονται πρέπει να εκτελούνται καθαρές συναλλαγές,




